脫硫劑催化劑
ZL高效脫硫催化劑使用技術
目前,我國用于焦爐煤氣的濕法脫硫工藝主要有濕式氧化和濕式吸收工藝兩種,而用于濕式氧化工藝的脫硫催化劑有十余種,概括起來可分為兩大類:第一類是酚-醌轉化(活性基團轉化),用變價離子催化,如ADA、對苯二酚、栲膠、F/R法中的苦味酸(PIA)和TAKAHAX法中的1,4-萘醌2-磺酸鈉等。上述脫硫催化劑雖能滿足某些工藝要求,但也存在一些缺點,如不能脫除有機硫,總脫硫效率低,硫泡沫不易分離,堵塞設備,適應H2S范圍小,脫硫成本較高等。第二類是近年來發展起來的磺化酞菁鈷復合金屬離子類脫硫催化劑,這類脫硫催化劑與第一類不同的是脫硫催化劑本身是載氧體,通過本身攜帶的原子氧完成氧化再生作用。
ZL脫硫催化劑屬于第二類催化劑,但它吸收了第一類催化劑的優點,是一種新型的復合型脫硫催化劑,已成功用于多家焦爐煤氣的濕式氧化脫硫工藝,特別是在氨法HPF脫硫工藝中的應用,顯示了其優異的性能特點,取得了顯著的社會效益。
1 ZL催化劑的性能特點和催化氧化原理
1.1 性能特點
理論和生產實踐都表明,Z L脫硫催化劑用于HPF脫硫工藝具有以下性能特點。
1) 該產品適合高、中、低含硫量的焦爐煤氣,并且脫硫脫氰速度快、效率高,脫硫效率可達98%以上;脫氰效率可達90%以上。
2) 在脫除無機硫的同時,可同時脫除有機硫。
3) 在同等工藝條件下,ZL催化劑和其他催化劑相比具有硫泡沫顆粒大,易分離、不堵塞設備的特點,且用量少、運行成本低。
4) ZL催化劑對于硫磺的生成具有較好的選擇性,所以付鹽生長速度慢,廢液排量小,處理費用低,環境污染小。
1.2催化氧化反應原理
1)吸收反應
硫化氫(H2S)、硫醇(RHS)、羰基硫(COS)、 二硫化碳(SC2)等與堿性溶液反應生成相應的化合物:
由上述吸收反應可知,在一定的工藝條件下,若使吸收反應進行徹底,需使體系中的S2-被氧化成單質硫而分離。
2)脫硫反應
由于ZL催化劑的特殊分子結構具有攜氧能力,在脫硫過程中,其不斷釋放出具有較高氧化活性的原子氧,能迅速將體系中的S2-氧化成單質硫,大大強化了脫硫效果,主要反應過程為:
3) 再生反應
脫硫反應中,催化劑所攜帶的氧被消耗,鼓入空氣使其再生:
研究表明,ZL催化劑的作用機理如下。a:ZL脫硫催化劑在堿性溶液中將溶解的O2吸附活化,形成高活性大離子;b:當遇到H2S等含硫化合物時,將其吸附到高活性的大離子微觀表面,在生產條件下,使H2S等含硫化合物中的硫氧化成單質硫或多硫化物;c:單質硫或多硫化物從ZL脫硫催化劑表面解吸而離去;d:ZL脫硫催化劑經重新獲得氧而再生.反應過程如下:
4) 副反應
1.3 ZL脫硫催化劑的性能指標
外觀:藍黑色粉末,粒度小于20目;水不溶物(﹪)≦3.00;催化活性≧0.06min-1。
2 ZL催化劑在焦爐煤氣HPF脫硫工藝中的應用
從全國多家焦化廠對ZL脫硫催化劑的應用情況看,其應用范圍十分廣泛,既可單獨用于以Na2CO3為堿源的改良ADA工藝,也可與對苯二酚混合使用脫硫,還可用于以氨為堿源的HPF焦爐煤氣脫硫工藝。下面以HPF脫硫工藝為例對ZL脫硫催化劑的應用情況給以介紹。
2.1 ZL脫硫催化劑的工藝參數
根據脫硫生產工藝和設計要求不同,ZL脫硫催化劑的工藝參數有所差別,但基本工藝參數如表1所示。
表1 ZL脫硫催化劑的主要工藝參數
|
項 目 名 稱 |
單 位 |
基 本 參 數 |
工業運行參數 |
|
液氣比 |
L/m3 |
12 ~ 30 |
26.8 |
|
空塔速度 |
m/s |
0.3 ~ 1.2 |
0.57 |
|
硫容量 |
kg/m3 |
0.3 ~ 1.8 |
0.2 ~ 1.6 |
|
再生時間 |
min |
10 ~ 30 |
20 |
|
鼓風密度 |
m3/h · m2 |
20 ~ 100 |
100 |
|
脫硫溫度 |
℃ |
30 ~ 40 |
30 ~ 35 |
|
催化劑用量 |
kg/TH2S |
0.6 ~ 0.8 |
0.8 ~ 1.2 |
|
溶液 PH 值 |
|
8.3 ~ 8.8 |
8.3 ~ 8.5 |
|
溶液 ZL 濃度 |
ppm |
30 ~ 50 |
30 ~ 50 |
|
溶液懸浮硫 |
mg/L |
﹤ 100 |
﹤ 100 |
|
硫氰酸鹽含量 |
g/L |
﹤ 150 |
﹤ 150 |
|
H2S 脫除率 |
﹪ |
95 ~ 98 |
|
|
HCN 脫除率 |
﹪ |
87 ~ 90 |
|
|
有機硫脫除率 |
﹪ |
50 ~ 60 |
|
![]() |
![]() |
![]() |
2.2 ZL脫硫催化劑的使用方法
ZL脫硫催化劑的使用,可采用沖擊性投加或連續滴加方式。將ZL脫硫催化劑用容器溶解直接加入反應槽或貧液槽中即可。一般來講,開工初期,第一次投放量為每百立方米脫硫液加入ZL脫硫催化劑3~5kg,系統運行穩定后,每天定時補加,使脫硫液中催化劑濃度保持在30~50ppm。根據各廠使用經驗,我們總結出每脫除一噸H2S大約消耗ZL催化劑0.8~1.2kg。
2.3 在氨法HPF脫硫工藝中的應用結果
工藝簡介
某廠焦爐煤氣采用氨法HPF脫硫工藝,設計處理煤氣量57000m3/h,入口煤氣H2S含量5~6g/m3,脫硫后煤氣H2S含量≦0.5g/m3。目前效果更好脫硫焦爐煤氣硫化氫小于100 mg/m3該廠選用ZL脫硫催化劑,達到了預期的處理效果。工藝流程為:風機后煤氣經預冷塔予冷后,分別進入兩臺并聯的脫硫塔,富液經循環泵進入各自的再生系統,再生后的貧液自流入脫硫塔循環噴灑。再生空氣從再生塔底部鼓入;為增加煤氣中的氨含量,提高煤氣的氨硫比,把蒸氨塔頂的氨氣經冷凝成氨水進入反應槽。
3 副鹽的增長與控制
眾所周知,濕式氧化脫硫工藝的主要問題之一是廢液的增長速度和廢液的處理問題,HPF脫硫工藝的含硫銨鹽廢液處理采取回兌配煤的方法,而對焦碳質量和煤氣成分無顯著影響,可認為是一種簡單經濟的方法,較好地解決了廢液的處理問題。但生產實踐表明,該方法對配煤環境、配煤設施的污染和腐蝕較重,因此如何最大限度地減少和控制付鹽的增長,應成為我們研究討論的問題之一。
從1.2.4中的副反應(1)可以看出,該反應的發生主要和下列因素有關,一是脫硫液溫度,二是脫硫液的堿度,三是再生塔的鼓風強度(即氧密度)。控制好上述幾個因素,可使脫硫液中的(NH4)2S2O3含量幾乎保持不變。
3.1 脫硫液溫度。
溫度的控制主要考慮脫硫和再生兩過程。前者是放熱反應,較低的溫度不僅利于脫硫操作,也可減少副反應(1)的發生,溫度太低不利于再生操作。綜合考慮反應熱及設備保溫情況,煤氣溫度控制為35℃,脫硫液溫度38℃。
3.2脫硫液的堿度。
1.2.1中的吸收反應要求,ZL脫硫催化劑必須在堿性(氨或純堿)溶液中進行,要使吸收反應完全,脫硫溶液的PH值必須控制得高一些。堿度的大小視煤氣中的硫含量而有所波動,實踐證明:常壓下的焦爐煤氣脫硫,對于氨法,PH值控制在8.2~8.7為宜,脫硫液中游離氨含量5.0~7.5;用碳酸鈉做堿源時,PH在8.2~8.7之間,堿度0.2~0.3N。因而在一定的硫氫化物的濃度下,副產物硫代硫酸鹽的生成速度較快,在生產實踐中,為減少副反應的發生,根據生產中的進、出口煤氣的H2S含量和實際的脫硫效率,應保持脫硫液的堿度適當而不能過高。
3.3鼓風強度。
足夠高的氧密度是ZL催化劑再生的必要條件,同時也使副反應得以進行,因此,鼓風強度的大小應根據脫硫液的實際再生效果來確定,在滿足再生要求的前提下,適當低的鼓風強度對減少副反應的發生和節約動力消耗都是有利的。再生塔的鼓風強度一般控制在95~100m3/m2·h。
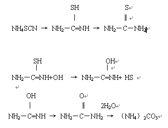
值得注意得是,1.2.4中的副反應(2)主要和煤氣中的HCN的含量有關,也與單質硫能否及時分離有關。使用ZL催化劑,及時地把單質硫分離出去,可減慢NH4SCN的增長速度;另外,在ZL催化劑的作用下,NH4SCN還可以發生如下轉化反應:
在氧化再生時,ZL將HS-催化氧化:
ZL
HS-+1/2O2 → OH-+S
由以上分析可以看出,在HPF脫硫工藝中應用ZL脫硫催化劑,副反應能夠得到比較有效地控制,因而副鹽增長緩慢.最大限度地減少了廢液處理量.
4 結論
ZL脫硫催化劑具有良好的性能特點,可用于焦爐煤氣濕式氧化脫硫工藝,其在氨法HPF脫硫工藝中應用,各項指標完全可以達到設計要求,具有脫硫效率高、硫磺顆粒大、硫泡沫易分離和運行費用低等特點,而且副反應能得到較好地控制,廢液量少。



.jpg)
.jpg)
.jpg)
